MEDIA DATA
THE LASTEST ARTICLE



























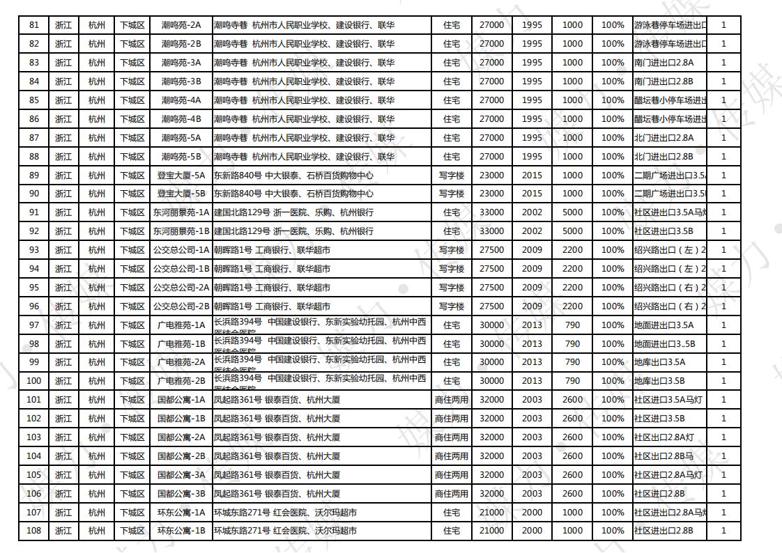
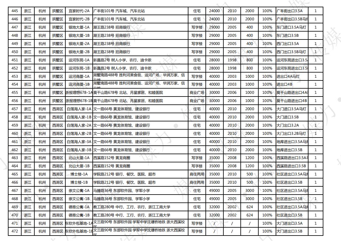
媒力·传媒——致力于道闸广告运营。道闸广告是一种新型的媒体资源,分布于中高端商务楼、高尚社区、公寓及大型商业娱乐中心停车场内。能有效锁定高收入的有车族进行高度覆盖,传播效果达到100%,是面对中高端受众最精确有效的强力渗透性新媒体。道闸广告,
24小时广告亮眼强制值入,为客户有效解决社区终端营销,精准锁定目标客户群,广告精准投放才是硬道理。杭州道闸广告、杭州道闸广告价格、杭州道闸广告投放咨询热线
4008-772-662。
编辑声明:本站公开资料来源于互联网,不对其真实性负责及版权负责。如发现有侵犯您的知识产权的内容,请与我们联系,我们将及时修改或删除。联系方式service@mlzhongguo.com
需求急速响应
我们拥有全国上千种广告媒体
量身定制方案
省钱的同时达到理想的广告效果
提供监播数据
错一补一,漏一补一
媒体效果监测
投放效果评估,后续投放建议
© Cppyright©2010 媒力·传媒 forum All rights reserved 沪ICP备10216235号-2
立即索要报价 | 急速响应
需求急速响应
我们拥有全国上千种广告媒体
量身定制方案
省钱的同时达到最好的广告效果
提供监播数据
错一补一,漏一补十
媒体效果监测
投放效果评估,后续投放建议

